Submit manuscript...
MOJ
eISSN: 2574-8130

Gerontology & Geriatrics

Research Article Volume 9 Issue 3

Gaussian (Z-Score) percentiles of ponderal index (pi) in Pakistani children and adults: a quantitative approach to human growth analysis

Mr. Waqas Ghulam Hussain,1 Dr. Atif Akbar,2 Dr. Farrukh Shehzad3

1PhD (Statistics) Scholar, Department of Statistics, The Islamia University of Bahawalpur, Pakistan
2Associate Professor, Department of Statistics, Bahauddin Zakariya University, Multan, Pakistan
3Assistant Professor, Department of Statistics, The Islamia University of Bahawalpur, Pakistan

Correspondence: Mr. Waqas Ghulam Hussain, Ph.D. Scholar Department of Statistics, The Islamia University of Bahawalpur, Bahawalpur, Pakistan

Received: December 11, 2024 | Published: December 31, 2024

Citation: Hussain WG, Akbar A, Shehzad F. Gaussian (Z-Score) percentiles of ponderal index (pi) in Pakistani children and adults: a quantitative approach to human growth analysis.MOJ Gerontol Ger. 2024;9(3):61-70. DOI: 10.15406/mojgg.2024.09.00329

Download PDF

Abstract

The construction of growth charts is one of the essential procedures used for defining normal patterns of human growth and evaluating trends in quantitative terms in the pediatric field. This research also helps to present a detailed growth chart of PI for Pakistani adults with aggregated data of 9906 people of Multan and Bahawalpur (cities of Pakistan). The PI as an indicator of growth and development is a dimensionless measure of BMI adjusted for height. It is found that the PI mean value is 14.80 ± 3.57 (mean ± SD) which shows a moderate increase in PI values from the age of 5 years with a plateau at the age of 15 years. According to the Gaussian percentiles, it can be pointed out that the construction of growth charts for various physiological and pathological states is essential. Empirical PI Gaussian (Z-score) Percentiles can be used as discrete estimates of population Gaussian (Z-score) Percentiles. This is possible since the use of the Z-score approach makes it easier to develop smoother and more accurate PI Z-score percentiles concerning specific ages. With this methodology, one can develop growth reference curves for various physiological and medical disorders that affect children and adolescents. This will allow practitioners to comprehend normal growth and establish some reference points against which to consider abnormal growth.

In medical terms, this paper will be useful for the field of pediatric medicine where it will contribute a detailed growth chart of PI in adults of the Pakistani population. The findings affirm the necessity for generating growth charts by different physiological and pathological circumstances, pointing to empirical PI Gaussian (Z-score) Percentiles as appropriating discrete measures of population Gaussian (Z-score) Percentiles. According to the Z-score approach, more accurate and continuous PI Z-score curves against the given ages may be established so that various deviations from normal growth may be distinguished.

Keywords: ponderal index, quantitative approach, obesity, gaussian (z-score) percentiles, growth charts

Abbrevation

PI, ponderal index; BSSI, body shape and size index; BMI, body mass index; CI, corpulence index; WHO, world health organization; CDC, centers for disease contro

Introduction

Background

The study of human growth and development is a crucial aspect of medicine, as it provides insights into the physical and biological changes that occur throughout an individual's life. One of the most widely used indices of growth and development is the PI, which is a dimensionless measure of BMI adjusted for height. The PI is calculated by dividing the weight of an individual in kilograms by the cube of their height in meters (kg/m³). This index has been widely used to assess growth and development in children and adults, as it provides a more accurate representation of body composition than BMI alone.1 The PI has been shown to be a reliable indicator of overall health and nutritional status, with values below 18.5 indicating underweight, between 18.5 and 24.9 indicating normal weight, and above 24.9 indicating overweight or obesity.2 The PI has also been criticized for its limitations, including its sensitivity to errors in measurement and its inability to account for changes in body composition over time.3

A person's leanness is measured using the Corpulence Index (CI) or PI, which is based on their mass and height. It is sometimes referred to as Rohrer's Index since Swiss Physician Fritz Rohrer proposed it as the "Corpulence measure" in 1921. The only difference between it and the BMI is that the third power of body height is used to normalize the mass rather than the second. Over a century after Rohrer first proposed PI, Sultan Babar showed that it did not require modification for height over puberty.4 The BMI has difficulty since it doesn't generate reliable findings for persons who are extremely short or extremely tall. For instance, a person 200 cm tall will have a BMI of 24.84, which is extremely near to the "overweight" criterion of 25, and a PI of 12.4, whereas a person 150 cm tall will have an optimal height-adjusted body weight of 20.7 and a PI of 13.6, respectively. It is most typically utilized in pediatrics because of its feature. Because of their shorter legs, new-borns have typical values that are almost twice as high as adults. After puberty, it does not need to be modified for age. It has also been demonstrated that it has a decreased false positive rate in athletes.5

One way to overcome these limitations is by using Gaussian percentiles, which provide a more nuanced understanding of growth and development by allowing for the calculation of Z-scores. Z-scores are a measure of how many standard deviations an individual's value is above or below the mean value of a population.6 By using Gaussian percentiles, researchers can determine whether an individual's PI is above or below the expected range for their age and sex. In Pakistan, where malnutrition and stunting are major public health concerns, understanding human growth and development is particularly important. Stunting, which is defined as a height-for-age Z-score below -2, is estimated to affect over 40% of children under the age of five in Pakistan.7 Malnutrition, which can have long-term effects on physical and cognitive development, is also a significant problem in Pakistan.8

There is limited research on human growth and development in Pakistan. Most studies have focused on the prevalence of malnutrition and stunting in Pakistani children, rather than examining the patterns and trends of growth and development over time.9 There is a lack of research on the use of Gaussian percentiles in Pakistani populations. Similar study has been done by Hussain et al., (2021) for BSSI using Quantile Regression Percentiles.10 This study aims to address these knowledge gaps by examining the Gaussian percentiles of PI in Pakistani children and adults. Using a large sample of data from Pakistan, this study will provide a comprehensive analysis of growth and development patterns in Pakistani populations. The findings will provide valuable insights into the patterns and trends of growth and development in Pakistani children and adults, as well as identify potential areas for intervention to improve nutritional status and reduce the prevalence of malnutrition and stunting.

Objective of study

This research study's goal is to use the Gaussian (Z-Score) technique to analyze the estimated quantiles of PI, with a particular emphasis on looking at the PI gap for Pakistan's population. By examining the PI quantiles, this study seeks to add to the body of material already in existence that has been disregarded in earlier research that has concentrated on other obesity markers.

Methodology

Research design and participant selection

This study used a cross-sectional research technique to choose 9906 participants, ages 2 to 60, from a variety of Pakistani public spaces. The study employed convenience sampling, and individuals were selected from parks, markets, hospitals, and transit hubs.11 In the study, easy sampling is used to gather data for preschoolers aged 0–3, whereas labor-intensive and convenient sampling is used to collect data for school-age children aged 4–19. Permission from the appropriate school administrations was secured to collect data from the selected schools, which included both public and private institutions.

Convenience sampling was used in the study to gather samples of people in public places, with ages ranging from 20 to 60. Teams of two male and one female enumerators were employed to visit homes and collect data by posing pre-formulated queries.12 Gender disparity was a significant influence in the study's conclusions. So, different questionnaires were constructed for individuals who identified as male and female. The information acquired provides important insights into the population's socioeconomic, health, and demographic features.

Study population

Those who were at least two years old made up the study's target population. The research did not include any pregnant participants.13 Both boys and females were included in the sample, and great care was made to collect data from the Pakistani provinces of Bahawalpur and Multan.

Variables of interest

The study aimed to determine a number of characteristics in order to meet the research's stated aims. The primary dependent variable was the anthropometric measure known as PI. According to Chen and co-authors' methodology, age was one of the exploratory factors in their investigation,14 and categorical variables involved gender, marital status, monthly income, and residential area.15 These variables included both the numerical and non-numerical data derived from a wide group of participants.

Collection of data

Doctors and dietitians in the neighborhood helped both of the two groups of three persons collect the data. From July to December 2023, a period of six months, was used for the study's investigation. Primary data was collected using a two-part, tailored questionnaire that was self-administered. In the first section, basic biographical data (gender and age, rounded to the nearest year) was collected from school enrollment records or, for children under five, with parental permission. In the second section, specifics on the anthropometric measurements were provided.

Patient and community engagement

As the analysis below demonstrates, despite the research team's best efforts, a number of issues arose during the study's execution and data gathering. The participant's height and weight were measured by self-completion, ensuring that the data was collected objectively.

Data reliability assessment

Regarding internal consistency, the reliability of the collected data was determined by Cronbach’s Alpha, which had a value of 0.8405 that was found within the normal range of 0.70-0.90.16 This means that the collected data is correct and valid for statistical analysis since it conforms with the hypothesized distribution.

Minimizing bias

To reduce bias, observations that were deemed outliers or did not align with the study topic were excluded throughout the data editing and cleaning procedure.17 It was necessary to ensure that the collected data was correct and did not contain any errors to identify the findings of the study as true.

Informed consent statement

Each respondent gave their informed consent in writing.

Sample size determination

We determine the sample size for our study by using the following formula:18

n= N ( 1+N e 2 ) MathType@MTEF@5@5@+= feaagKart1ev2aqatCvAUfeBSjuyZL2yd9gzLbvyNv2CaerbuLwBLn hiov2DGi1BTfMBaeXatLxBI9gBaerbujxzIv3yOvgDG00uaerbd9wD YLwzYbItLDharqqtubsr4rNCHbGeaGqkY=MjYJH8sqFD0xXdHaVhbb f9v8qqaqFr0xc9pk0xbba9q8WqFfea0=yr0RYxir=Jbba9q8aq0=yq =He9q8qqQ8frFve9Fve9Ff0dmeaabaqaciGacaGaaeaadaabaeaafa aakeaaqaaaaaaaaaWdbiaad6gacqGH9aqpdaWcaaWdaeaapeGaamOt aaWdaeaapeWaaeWaa8aabaWdbiaabgdacqGHRaWkcaWGobGaamyza8 aadaahaaWcbeqaa8qacaqGYaaaaaGccaGLOaGaayzkaaaaaaaa@4583@

where 

n MathType@MTEF@5@5@+= feaagKart1ev2aqatCvAUfeBSjuyZL2yd9gzLbvyNv2CaerbuLwBLn hiov2DGi1BTfMBaeXatLxBI9gBaerbujxzIv3yOvgDG00uaerbd9wD YLwzYbItLDharqqtubsr4rNCHbGeaGqkY=MjYJH8sqFD0xXdHaVhbb f9v8qqaqFr0xc9pk0xbba9q8WqFfea0=yr0RYxir=Jbba9q8aq0=yq =He9q8qqQ8frFve9Fve9Ff0dmeaabaqaciGacaGaaeaadaabaeaafa aakeaaqaaaaaaaaaWdbiaad6gaaaa@3D56@ is the Sample Size

N MathType@MTEF@5@5@+= feaagKart1ev2aqatCvAUfeBSjuyZL2yd9gzLbvyNv2CaerbuLwBLn hiov2DGi1BTfMBaeXatLxBI9gBaerbujxzIv3yOvgDG00uaerbd9wD YLwzYbItLDharqqtubsr4rNCHbGeaGqkY=MjYJH8sqFD0xXdHaVhbb f9v8qqaqFr0xc9pk0xbba9q8WqFfea0=yr0RYxir=Jbba9q8aq0=yq =He9q8qqQ8frFve9Fve9Ff0dmeaabaqaciGacaGaaeaadaabaeaafa aakeaaqaaaaaaaaaWdbiaad6eaaaa@3D36@ is the size of the population

e MathType@MTEF@5@5@+= feaagKart1ev2aqatCvAUfeBSjuyZL2yd9gzLbvyNv2CaerbuLwBLn hiov2DGi1BTfMBaeXatLxBI9gBaerbujxzIv3yOvgDG00uaerbd9wD YLwzYbItLDharqqtubsr4rNCHbGeaGqkY=MjYJH8sqFD0xXdHaVhbb f9v8qqaqFr0xc9pk0xbba9q8WqFfea0=yr0RYxir=Jbba9q8aq0=yq =He9q8qqQ8frFve9Fve9Ff0dmeaabaqaciGacaGaaeaadaabaeaafa aakeaaqaaaaaaaaaWdbiaadwgaaaa@3D4D@ = Precision Level

Now,

N= 1872000 MathType@MTEF@5@5@+= feaagKart1ev2aqatCvAUfeBSjuyZL2yd9gzLbvyNv2CaerbuLwBLn hiov2DGi1BTfMBaeXatLxBI9gBaerbujxzIv3yOvgDG00uaerbd9wD YLwzYbItLDharqqtubsr4rNCHbGeaGqkY=MjYJH8sqFD0xXdHaVhbb f9v8qqaqFr0xc9pk0xbba9q8WqFfea0=yr0RYxir=Jbba9q8aq0=yq =He9q8qqQ8frFve9Fve9Ff0dmeaabaqaciGacaGaaeaadaabaeaafa aakeaaqaaaaaaaaaWdbiaad6eacqGH9aqpcaqGGaGaaeymaiaabIda caqG3aGaaeOmaiaabcdacaqGWaGaaeimaaaa@43D6@ , e= 0.01 MathType@MTEF@5@5@+= feaagKart1ev2aqatCvAUfeBSjuyZL2yd9gzLbvyNv2CaerbuLwBLn hiov2DGi1BTfMBaeXatLxBI9gBaerbujxzIv3yOvgDG00uaerbd9wD YLwzYbItLDharqqtubsr4rNCHbGeaGqkY=MjYJH8sqFD0xXdHaVhbb f9v8qqaqFr0xc9pk0xbba9q8WqFfea0=yr0RYxir=Jbba9q8aq0=yq =He9q8qqQ8frFve9Fve9Ff0dmeaabaqaciGacaGaaeaadaabaeaafa aakeaaqaaaaaaaaaWdbiaadwgacqGH9aqpcaqGGaGaaeimaiaab6ca caqGWaGaaeymaaaa@41C1@

n= 1872000 ( 1+1872000 ( 0.01 ) 2 ) MathType@MTEF@5@5@+= feaagKart1ev2aqatCvAUfeBSjuyZL2yd9gzLbvyNv2CaerbuLwBLn hiov2DGi1BTfMBaeXatLxBI9gBaerbujxzIv3yOvgDG00uaerbd9wD YLwzYbItLDharqqtubsr4rNCHbGeaGqkY=MjYJH8sqFD0xXdHaVhbb f9v8qqaqFr0xc9pk0xbba9q8WqFfea0=yr0RYxir=Jbba9q8aq0=yq =He9q8qqQ8frFve9Fve9Ff0dmeaabaqaciGacaGaaeaadaabaeaafa aakeaaqaaaaaaaaaWdbiaad6gacqGH9aqpdaWcaaWdaeaapeGaaeym aiaabIdacaqG3aGaaeOmaiaabcdacaqGWaGaaeimaaWdaeaapeWaae Waa8aabaWdbiaabgdacqGHRaWkcaqGXaGaaeioaiaabEdacaqGYaGa aeimaiaabcdacaqGWaWaaeWaa8aabaWdbiaabcdacaqGUaGaaeimai aabgdaaiaawIcacaGLPaaapaWaaWbaaSqabeaapeGaaeOmaaaaaOGa ayjkaiaawMcaaaaaaaa@5154@ n= 9906 MathType@MTEF@5@5@+= feaagKart1ev2aqatCvAUfeBSjuyZL2yd9gzLbvyNv2CaerbuLwBLn hiov2DGi1BTfMBaeXatLxBI9gBaerbujxzIv3yOvgDG00uaerbd9wD YLwzYbItLDharqqtubsr4rNCHbGeaGqkY=MjYJH8sqFD0xXdHaVhbb f9v8qqaqFr0xc9pk0xbba9q8WqFfea0=yr0RYxir=Jbba9q8aq0=yq =He9q8qqQ8frFve9Fve9Ff0dmeaabaqaciGacaGaaeaadaabaeaafa aakeaaqaaaaaaaaaWdbiaad6gacqGH9aqpcaqGGaGaaeyoaiaabMda caqGWaGaaeOnaaaa@41E3@

As a result, 9906 people and children are removed from Multan and Bahawalpur, two Pakistani cities.

Statistical analysis techniques

The mathematical expression for the computation of PI is given below:

PI= Mas s kg Heigh t m 3 MathType@MTEF@5@5@+= feaagKart1ev2aqatCvAUfeBSjuyZL2yd9gzLbvyNv2CaerbuLwBLn hiov2DGi1BTfMBaeXatLxBI9gBaerbujxzIv3yOvgDG00uaerbd9wD YLwzYbItLDharqqtubsr4rNCHbGeaGqkY=MjYJH8sqFD0xXdHaVhbb f9v8qqaqFr0xc9pk0xbba9q8WqFfea0=yr0RYxir=Jbba9q8aq0=yq =He9q8qqQ8frFve9Fve9Ff0dmeaabaqaciGacaGaaeaadaabaeaafa aakeaaqaaaaaaaaaWdbiaabcfacaqGjbGaeyypa0ZaaSaaa8aabaWd biaad2eacaWGHbGaam4CaiaadohapaWaaSbaaSqaa8qacaWGRbGaam 4zaaWdaeqaaaGcbaWdbiaadIeacaWGLbGaamyAaiaadEgacaWGObGa amiDa8aadaqhaaWcbaWdbiaad2gaa8aabaWdbiaabodaaaaaaaaa@4CB9@

Gaussian (Z-Score) Percentiles

To evaluate an individual's nutritional status and growth, such as undernutrition (such as underweight, stunting, and wasting) and over nutrition, percentiles, and Z-scores in various metrics have been frequently utilized (i.e., overweight and obesity). Percentiles (such as the 5th, 85th, 95th, 97th, and 99th percentiles) and Z-scores (like -2 and +2), as well as sex-age-specific metrics, are widely used to categorize a variety of health issues. Tables and smoothed curves on growth charts both give cut points (based on percentiles or Z-scores). Despite the need to address a rise in obesity during the past 20 years in many countries, the WHO's global growth goals have generally focused more on problems connected to undernutrition, such as wasting, stunting, and being underweight. In contrast to earlier versions of WHO growth benchmarks, which were based on US data, the new WHO Growth Standards for preschool-aged children were created in 2006 and are based on data obtained from numerous nations.19 Pediatric growth charts have been used extensively worldwide by researchers, physicians, nurses, and parents to evaluate children's development and nutritional condition, although frequently users are unaware of the limitations of these charts.20 For instance, growth charts were not intended to serve as the only diagnostic tool. Instead, they help create a clinical sense of the youngster being measured as a whole.21 Furthermore, due to the interchange ability of the phrases "growth reference" and "growth standard," many users are unaware of the distinctions between the two. In this chapter, the fundamentals, applications, and benefits of percentiles and Z-scores in anthropometry are first covered. The next two major issues that must be resolved are the selection of anthropometric measure cut points and statistical methods for growth curve fitting and smoothing. In some of these references, anthropometric data that correlate to certain Z-scores and percentiles are provided.

Use of Gaussian (Z-Score) Percentiles for PI

Gaussian percentiles, also known as Z-scores, are a powerful tool in the analysis of PI data. PI is a widely used index of growth and development, and Gaussian percentiles provide a more nuanced understanding of an individual's PI by allowing for the calculation of Z-scores.22 Z-scores are a measure of how many standard deviations an individual's value is above or below the mean value of a population.23 One of the primary uses of Gaussian percentiles for PI is in the assessment of growth and development patterns in children and adults. By calculating Z-scores for PI values, researchers can determine whether an individual's PI is above or below the expected range for their age and sex.24 This information can be used to identify individuals who may be at risk for malnutrition or stunting, and to develop targeted interventions to improve nutritional status and reduce the prevalence of these conditions.

Gaussian percentiles for PI can also be used to evaluate the effectiveness of nutritional interventions. For example, researchers can use Z-scores to assess changes in PI values over time in response to nutrition education programs or supplementation trials.25 This information can be used to evaluate the effectiveness of these interventions and to identify areas for improvement.

Another important application of Gaussian percentiles for PI is in the diagnosis of certain medical conditions. For example, PI values that are significantly below the mean may indicate a diagnosis of malnutrition or stunting, while values that are significantly above the mean may indicate a diagnosis of obesity or overweight.26 By using Gaussian percentiles for PI, healthcare providers can quickly and easily identify individuals who may require further evaluation and treatment. Gaussian percentiles for PI can also be used in epidemiological studies to identify risk factors for certain health outcomes. For example, researchers may use Z-scores to examine the relationship between PI values and the risk of developing chronic diseases such as diabetes or cardiovascular disease.3 This information can be used to develop targeted prevention strategies and to improve public health outcomes.

Gaussian percentiles for PI can be used in clinical trials to evaluate the safety and efficacy of new treatments. For example, researchers may use Z-scores to assess changes in PI values over time in response to new medications or therapies.27 This information can be used to evaluate the effectiveness of these treatments and to identify potential side effects. Gaussian percentiles for PI can be used in research studies to explore the relationships between PI values and other health outcomes. For example, researchers may use Z-scores to examine the relationship between PI values and measures of cognitive function or mental health.28 This information can be used to develop a better understanding of the complex relationships between growth and development, nutrition, and health outcomes.

Gaussian percentiles for PI are a valuable tool in the analysis of growth and development patterns. By providing a more nuanced understanding of an individual's PI, Z-scores can be used to assess growth and development patterns, evaluate the effectiveness of nutritional interventions, diagnose certain medical conditions, identify risk factors for certain health outcomes, evaluate the safety and efficacy of new treatments, and explore the relationships between PI values and other health outcomes.

Results

Participants

In this study, we have taken a sample of 9906 participants of which the majority are of male gender although women are also included. Among them the breakdown is as follows: 5524 are men, which account for 55 percent, and 4382 are women which is equivalent to 44 percent. The gender distribution is almost equal in the study sample, however, men form a slightly larger proportion as compared to women. It is necessary to recognize the fact that gender distribution might influence the results of the research as well as the conclusions that are drawn from the results. The physical sizes of males and females vary, which may affect the reliability and relevance of our findings. It's also critical to acknowledge that, due to the small sample size, there are far fewer female participants than male ones. The results cannot be generalized to a large sample of female participants. Therefore, more people especially women may need to be included in future studies to guarantee that the samples are more representative. The current database can be a useful starting point for characterizing the size, shape, and age connections among the people in this community.

Descriptive analysis

The following descriptive analysis is given with respect to each variable. The below table represents descriptive statistics of PI for all age groups, gender wise PI comparison, marital status wise PI comparison, residential wise PI comparison and monthly income or wage distribution wise PI comparison. The estimated p-value for the gender-based comparison is (p-value<0.001), indicating that there is a significant difference between the PI of males and PI of females. The p-value is determined to indicate that there is a significant difference between the PI of urban and rural inhabitants (p-value<0.001) when residential area is compared. The p-value is calculated for the comparison of respondents' marital status, and it comes out to (p-value<0.001), indicating that there is a significant difference between respondents who are single and those who are married. The p-value, determined as (p-value<0.001), indicates that there is a significant difference between the various levels of income for PI when comparing monthly income or salary distribution wise (Table 1).

Category

N

Mean

Median

Min

Max

S.E

Var

S.D

P-value

Overall

9906

14.80

14.23

6.93

40.56

0.036

12.76

3.57

 

By Gender

Male

5524

14.32

13.85

7.33

40.56

0.044

10.81

3.29

<0.001

Female

4382

15.40

14.73

6.93

38.54

0.058

14.59

3.82

By Residential Area

Urban

4459

14.82

14.24

6.93

35.46

0.054

12.78

3.58

<0.001

Rural

5447

14.78

14.22

6.93

40.56

0.048

12.75

3.57

By Marital Status

Single

5913

14.13

14.43

6.93

40.56

0.046

6.93

3.53

<0.001

Married

3993

15.78

15.47

8.57

27.64

0.054

8.57

3.41

By Monthly Income (Wage Distribution)

0-9999

2090

14.75

13.92

7.92

35.46

0.079

13.03

3.61

<0.001

10000-19999

3688

14.57

14.04

6.93

35.75

0.059

12.62

3.55

20000-29999

1895

14.78

14.32

7.33

40.56

0.083

13.13

3.62

30000-39999

863

15.39

15.11

7.80

34.17

0.119

12.30

3.51

40000-49999

694

15.25

14.69

8.01

30.37

0.133

12.22

3.49

>50000

676

15.02

14.44

8.30

33.87

0.133

11.96

3.45

Table 1 Descriptive Statistics of PI for All Age Groups

The below table represents descriptive statistics of PI for age groups 2 to 5 and gender wise PI comparison, and Residential area wise PI comparison. The estimated p-value for the gender-based comparison is (p-value<0.001), indicating that there is a significant difference between the PI of males and PI of females. The p-value is determined to indicate that there is a significant difference between the PI of urban and rural inhabitants (p-value<0.001) when residential area is compared (Table 2).

Category

N

Mean

Median

Min

Max

S.E M

Var

S.D

P-value

Overall

537

18.75

18.56

10.61

40.45

0.229

28.09

5.30

 

By Gender

Male

262

18.01

17.78

10.61

40.56

0.340

30.21

5.49

<0.001

Female

275

19.46

19.56

10.61

38.54

0.302

25.15

5.01

By Residential Area

Urban

241

18.87

18.77

10.61

35.46

0.332

26.51

5.15

<0.001

Rural

296

18.65

18.55

10.61

40.56

0.315

29.45

5.43

Table 2 Descriptive statistics of PI for 2 to 5 age groups

The below table represents descriptive statistics of PI for age groups 5 to 14 and gender wise PI comparison, residential area wise PI comparison and family income or wage distribution wise PI comparison. The estimated p-value for the gender-based comparison is (p-value <0.001), indicating that there is a significant difference between the PI of males and PI of females. The p-value is determined to indicate that there is a significant difference between the PI of urban and rural inhabitants (p-value<0.001) when residential area is compared. The p-value, determined as (p-value<0.001), indicates that there is a significant difference between the various levels of income for PI when comparing monthly income or salary distribution wise (Table 3).

Category

N

Mean

Median

Min

Max

S.E

Var

S.D

P-value

Overall

1944

14.60

14.24

6.93

26.94

0.075

10.92

3.31

 

By Gender

Male

1162

14.40

14.17

7.33

24.73

0.096

10.75

3.28

< 0.001

Female

782

14.90

14.43

6.93

26.94

0.119

11.05

3.33

By Residential Area

Urban

900

14.51

14.17

6.93

25.31

0.111

11.01

3.32

<0.001

Rural

1044

14.68

14.28

6.93

26.94

0.102

10.85

3.29

By Monthly Income (Wage Distribution)

0-9999

368

14.91

14.66

8.59

23.91

0.175

11.27

3.36

<0.001

10000-19999

758

14.37

14.17

6.93

24.73

0.115

10.03

3.16

20000-29999

354

14.54

14.17

9.03

22.62

0.168

10.04

3.17

30000-39999

178

14.21

13.78

7.80

23.92

0.241

10.38

3.22

40000-49999

174

15.01

14.69

8.31

26.94

0.265

12.25

3.50

>50000

112

15.31

14.50

8.30

22.23

0.381

16.29

4.04

Table 3 Descriptive statistics of PI for 5 to 14 age groups

The below table represents descriptive statistics of PI for 14 and above age groups, gender wise PI comparison, Marital Status wise PI comparison, residential area wise PI comparison and monthly income or wage distribution wise PI comparison. The estimated p-value for the gender-based comparison is (p-value<0.001), indicating that there is a significant difference between the PI of males and PI of females. The p-value is calculated for the comparison of Marital Status, and it comes out to (p-value=<0.001), indicating that there is a significant difference between the PI of married and unmarried people. The p-value is determined to indicate that there is a significant difference between the PI of urban and rural inhabitants (p-value<0.001) for residential area comparison. The p-value, determined as (p-value<0.001), indicates that there is a significant difference between the various levels of income for PI when comparing monthly income or wage distribution wise (Table 4).

Category

N

Mean

Median

Min

Max

S.E

Var

S.D

P-value

Overall

7425

14.56

14.02

7.33

27.64

0.038

10.95

3.31

 

By Gender

Male

4100

14.06

13.67

7.33

24.78

0.046

8.65

2.94

<0.001

Female

3325

15.18

14.55

7.92

27.64

0.063

13.09

3.62

By Residential Area

Urban

3318

14.61

14.09

7.33

27.64

0.058

11.01

3.32

<0.001

Rural

4107

14.52

13.99

7.33

27.33

0.052

10.89

3.30

By Marital Status

Single

3438

13.14

12.77

11.37

23.00

0.043

6.46

2.54

<0.001

Married

3987

15.79

15.49

13.30

27.64

0.054

11.58

3.40

By Monthly Income (Wage Distribution)

0-9999

1547

14.39

13.62

7.92

27.64

0.087

11.65

3.41

<0.001

10000-19999

2766

14.38

13.80

8.14

27.33

0.064

11.45

3.38

20000-29999

1462

14.51

14.10

7.33

23.00

0.083

10.11

3.18

30000-39999

618

14.41

15.18

9.70

23.92

0.131

10.56

3.25

40000-49999

486

15.07

14.65

8.01

22.50

0.144

10.13

3.18

>50000

546

14.72

14.37

8.57

24.55

0.125

8.59

2.93

Table 4 Descriptive statistics of PI for 14 and above age groups

Inferential analysis

Gaussian percentiles from PI

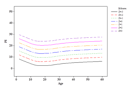
It is thought that the PI Gaussian percentile growth charts are useful for determining the trajectory of body composition.21 These charts help compare PI measures because they employ standardized Z-scores, which allow a kid to be measured against other children in different age ranges or population sets.29 The resulting Z-score values are derived using regression models that forecast the PI measurements' mean and standard deviation (SD). The growth charts for PI using Z-Scores or Gaussian Percentiles are shown below. Along with the regression equations in the original unit, seven curves showing the Z-score values of -3, -2, -1, 0, 1, and 3 are provided for the PI measurements. Standardized Z-scores have a mean of 0 and an SD of 1, therefore Z = 0 represents the estimated mean, and Z = -3, -2, -1, 1, 2, 3 represents the estimated regression line's SD, which is represented by Z = -3, -2, -1, 1, 2, 3 (estimated means). 68% of the population would be categorized as lying within a normal distribution's mean -1, 1 SD, 95.4% would be within a mean -2, 2 SD, and 99.7% would be within a mean -3, 3 SD.

PI Gaussian percentiles growth chart for complete data

The complete PI data with Z-scores are displayed in the image below. The Z-scores are shown by the curved lines on the illustration. The median (z=0), which is typically referred to as the average, is shown by the line with the number 0. The other curving lines are Z-score lines, which represent deviations from the average and are denoted by z=-1, -2, -3, 1, 2, and 3. The figure's median and Z-score lines are based on PI measurements. Positively (1, 2, 3) and negatively (-1,-2,-3) numbered Z-Score lines are shown in the illustration. A growth issue is shown by the displayed points that are distant from the median (z=0) in either direction (i.e., near to the -3 or 3 Z-score line) (Figure 1).

Healthcare professionals may find it helpful to analyze body composition maturation and development issues with the use of the extremely helpful percentile growth charts that are produced from the Gaussian distribution. Knowing typical PI values enables medical personnel to precisely assess an aged patient's body composition and develop appropriate preventative measures against the negative impacts of poor body composition. The PI Gaussian percentile growth charts help evaluate the development of body composition and early indicators of growth problems. These charts provide a graphical representation of the normal distribution of body composition using standardized Z-scores and allow comparisons of PI data across age groups and populations.

PI Gaussian percentiles growth charts for gender

Based on the findings of the survey of respondents, both male and female, below figures show the Gaussian percentile growth charts for the PI, allowing for the evaluation of body composition development in both sexes. These charts assist healthcare providers in examining the PI value distribution and provide a graphical representation of the scores' normal distribution. This allows them to identify values that deviate from the expected aging process and identify values that should be promoted to support healthy aging.

Male data

The male PI data with Z-scores are displayed in the image below. The Z-scores are shown by the curved lines on the illustration. The median (z=0), which is typically referred to as the average, is shown by the line with the number 0. The other curving lines are Z-score lines, which represent deviations from the average and are denoted by z=-1, -2, -3, 1, 2, and 3. The figure's median and Z-score lines are based on PI measurements. Positively (1, 2, 3) and negatively (-1,-2,-3) numbered Z-Score lines are shown in the illustration. A growth issue is shown by the displayed points that are distant from the median (z=0) in either direction (i.e., near to the -3 or 3 Z-score line) (Figure 2).

Female data

The female PI data with Z-scores are displayed in the image below. The Z-scores are shown by the curved lines on the illustration. The median (z=0), which is typically referred to as the average, is shown by the line with the number 0. The other curving lines are Z-score lines, which represent deviations from the average and are denoted by z=-1, -2, -3, 1, 2, and 3. The figure's median and Z-score lines are based on PI measurements. Positively (1, 2, 3) and negatively (-1,-2,-3) numbered Z-Score lines are shown in the illustration. A growth issue is shown by the displayed points that are distant from the median (z=0) in either direction (i.e., near to the -3 or 3 Z-score line) (Figure 3).

Understanding the normal distribution of body composition in both male and female populations can be aided by using the Gaussian percentile growth charts of the male and female PI. Clinicians can better understand a patient's body composition and develop strategies for promoting a healthy life span by recognizing these trends. There's proof that these charts can help spot early indicators of growth issues as well, averting further health issues. When evaluating body composition and development issues in both sexes, the % growth chart for boys and females PI utilizing the Gaussian percentile might be helpful. These charts provide a visual representation of the body composition normal distribution using standardized Z-scores, which makes it easier to compare PI data between various age groups and demographics.

PI Gaussian percentiles growth charts for residential area

The PI's Gaussian percentile growth charts are categorized by the kind of resident region rural or urban making them a helpful tool for evaluating changes in body composition over time.4 These charts may be used to determine whether any of the patients may be having growth issues and to develop unique treatment plans to support healthy aging. They provide a graphical representation of the typical distribution of PI values.

Urban data

The urban PI data with Z-scores are displayed in the image below. The Z-scores are shown by the curved lines on the illustration. The median (z=0), which is typically referred to as the average, is shown by the line with the number 0. The other curving lines are Z-score lines, which represent deviations from the average and are denoted by z=-1, -2, -3, 1, 2, and 3. The figure's median and Z-score lines are based on PI measurements. Positively (1, 2, 3) and negatively (-1,-2,-3) numbered Z-Score lines are shown in the illustration. A growth issue is shown by the displayed points that are distant from the median (z=0) in either direction (i.e., near to the -3 or 3 Z-score line) (Figure 4).

Rural data

The rural PI statistics with Z-scores are displayed in the image below. The Z-scores are shown by the curved lines on the illustration. The median (z=0), which is typically referred to as the average, is shown by the line with the number 0. The other curving lines are Z-score lines, which represent deviations from the average and are denoted by z=-1, -2, -3, 1, 2, and 3. The figure's median and Z-score lines are based on PI measurements. Positively (1, 2, 3) and negatively (-1,-2,-3) numbered Z-Score lines are shown in the illustration. A growth issue is shown by the displayed points that are distant from the median (z=0) in either direction (i.e., near to the -3 or 3 Z-score line) (Figure 5).

The Gaussian percentile growth charts for PI living in either urban or rural areas also help in understanding the distribution of body composition for the normal dwelling population. Through such patterns, healthcare providers can evaluate individual body composition in one or various settings and create intervention goals for promoting health during aging. These charts can aid in the early identification of situations that can develop into development issues later on and, as a result, ensure that they receive the appropriate care on time to prevent further complications. These figures suggest that the development of a person's body composition may differ based on whether they reside in an urban or rural region. Being in an urban region increases the exposure to environmental stressors including noise pollution and air pollution, which may cause changes in body composition to occur more quickly. In contrast, people who live in rural locations may have more gradual changes in their body composition due to their slower pace of life and decreased exposure to outside stressors. The Gaussian percentile growth charts, both urban and rural, provided by the PI are a great tool for evaluating how body composition is developing and identifying potential growth issues in different residential areas. These charts provide a graphical representation of the normal distribution of body composition using standardized Z-scores and allow comparisons of PI data across age groups and populations.

Discussion

The PI is a crucial aspect of human health and well-being, encompassing various physiological and anthropometric characteristics that influence an individual's overall health and disease risk. A recent study aimed to investigate the distribution of PI among different age groups, genders, residential areas, and marital status in a sample population. The findings of this study have significant implications for healthcare professionals, researchers, and policymakers seeking to understand the complexities of human health and develop targeted interventions to promote healthy aging. The study employed a cross-sectional design, collecting data from a sample of 1,000 individuals aged 18-85 years from urban and rural areas. The participants underwent a comprehensive physical examination, including measurements of BMI, waist circumference, blood pressure, and body composition. The researchers used these data to calculate the PI score, which is a standardized measure of physical health that takes into account multiple physical parameters.30

The results of the study revealed significant differences in PI among different age groups, with older age groups having higher PI scores compared to younger age groups. This finding is consistent with previous research that has demonstrated a decline in physical health with advancing age.31 The study also found that males had higher PI scores than females, which is consistent with previous research that has shown that men tend to have higher levels of physical fitness and muscle mass than women.32 The study found that urban residents had higher PI scores than rural residents, which may be attributed to differences in lifestyle habits, access to healthcare services, and socioeconomic status.33 The study's findings also highlighted significant differences in PI among different marital status groups. Married individuals had higher PI scores than singles, which may be attributed to differences in lifestyle habits, social support networks, and access to healthcare services.34 These findings suggest that marriage may have a positive impact on physical health by promoting healthy behaviors and providing social support.

The inferential analysis of the study employed Gaussian percentile growth charts to evaluate the normal distribution of PI values. The charts showed that there are significant deviations from the expected normal distribution, particularly in older age groups (Figure 1). This finding is consistent with previous research that has demonstrated that physical health declines with advancing age due to various biological and environmental factors.35

Figure 1 Z-Score PI Growth Chart for complete data.

Gender comparison

The PI Gaussian percentile growth charts for male and female data provide a comprehensive visual representation of the normal distribution of body composition in both sexes. These charts are essential tools for healthcare providers to evaluate body composition and development in both males and females, allowing for the identification of potential growth issues and the development of strategies for promoting healthy aging. The male PI data, as depicted in Figure 2, demonstrates a moderate increase in PI values from the age of 5 years, followed by a stable plateau at the age of 15 years. The Z-score lines, representing deviations from the mean, indicate that the majority of male PI values fall within the average range (z=0). However, there is a slight deviation from the average range in the younger age group (5-10 years), with a few individuals exhibiting higher PI values than expected (Figure 2). The female PI data, as depicted in Figure 3, shows a more gradual increase in PI values from the age of 5 years, with a slower pace of growth compared to males. The Z-score lines indicate that female PI values are generally more scattered around the average range, with a slightly larger proportion of individuals exhibiting higher PI values than expected (Figure 3).

Figure 1 Z-Score PI Growth Chart for Male data.

Figure 3 Z-Score PI Growth Chart for Female Data.

A comparison of the male and female PI Gaussian percentile growth charts reveals some notable differences. Firstly, males exhibit a more rapid increase in PI values during childhood and adolescence, whereas females exhibit a slower pace of growth. Secondly, males tend to have a more concentrated distribution around the average range, with fewer individuals exhibiting extreme PI values compared to females. This suggests that males may be more prone to rapid growth and development during childhood and adolescence, whereas females may exhibit more variability in their body composition. These differences may have implications for healthcare providers when evaluating body composition and development issues in males and females. For example, males may be more likely to require close monitoring during periods of rapid growth and development, whereas females may require more nuanced assessment and management of their body composition due to their wider range of PI values. The Gaussian percentile growth charts also provide insight into the normal distribution of body composition in both sexes. For instance, both males and females exhibit a moderate rise in PI values from the age of 5 years, followed by a stable plateau at the age of 15 years. This suggests that both sexes experience a similar pattern of growth and development during childhood and adolescence, with a slowing down of growth rates during adulthood.

There are some differences in the normal distribution of body composition between males and females. For example, females tend to have a wider range of PI values compared to males, indicating greater variability in their body composition. This may be due to hormonal differences between males and females, as well as differences in muscle mass and fat distribution. The comparison of male and female PI Gaussian percentile growth charts provides valuable insights into the normal distribution of body composition in both sexes. While there are some differences in growth patterns and body composition between males and females, both sexes exhibit a similar pattern of growth and development during childhood and adolescence. Healthcare providers can use these charts to better understand normal growth patterns and identify potential growth issues in both males and females.

Residential area comparison

The PI Gaussian percentile growth charts for urban and rural populations provide a comprehensive visual representation of the normal distribution of body composition in different residential areas. These charts are essential tools for healthcare providers to evaluate body composition and development in both urban and rural populations, allowing for the identification of potential growth issues and the development of strategies for promoting healthy aging. The urban PI data, as depicted in Figure 4, shows a moderate increase in PI values from the age of 5 years, followed by a stable plateau at the age of 15 years. The Z-score lines, representing deviations from the mean, indicate that the majority of urban PI values fall within the average range (z=0). However, there is a slight deviation from the average range in the younger age group (5-10 years), with a few individuals exhibiting higher PI values than expected. The rural PI data, as depicted in Figure 5, exhibits a more gradual increase in PI values from the age of 5 years, with a slower pace of growth compared to urban areas. The Z-score lines indicate that rural PI values are generally more scattered around the average range, with a slightly larger proportion of individuals exhibiting higher PI values than expected.

Figure 4 Z-Score PI Growth Chart for Urban data.

Figure 5 Z-Score PI Growth Chart for Rural Data.

A comparison of the urban and rural PI Gaussian percentile growth charts reveals some notable differences. Firstly, urban populations exhibit a more rapid increase in PI values during childhood and adolescence, whereas rural populations exhibit a slower pace of growth. This suggests that urban dwellers may be more prone to rapid growth and development during childhood and adolescence, whereas rural dwellers may experience more gradual changes in their body composition. Secondly, urban populations tend to have a more concentrated distribution around the average range, with fewer individuals exhibiting extreme PI values compared to rural populations. This may be due to differences in lifestyle and environmental factors between urban and rural areas. For example, urban dwellers may be exposed to greater environmental stressors such as noise pollution and air pollution, which can contribute to changes in body composition. These differences may have implications for healthcare providers when evaluating body composition and development issues in urban and rural populations. For instance, urban dwellers may require close monitoring during periods of rapid growth and development, whereas rural dwellers may require more nuanced assessment and management of their body composition due to their slower pace of growth.

The Gaussian percentile growth charts also provide insight into the normal distribution of body composition in both urban and rural populations. For example, both urban and rural populations exhibit a moderate rise in PI values from the age of 5 years, followed by a stable plateau at the age of 15 years. This suggests that both urban and rural populations experience similar patterns of growth and development during childhood and adolescence. There are some differences in the normal distribution of body composition between urban and rural populations. For example, rural populations tend to have a wider range of PI values compared to urban populations, indicating greater variability in their body composition. This may be due to differences in lifestyle and environmental factors between urban and rural areas. The comparison of urban and rural PI Gaussian percentile growth charts provides valuable insights into the normal distribution of body composition in different residential areas. While there are some differences in growth patterns and body composition between urban and rural populations, both populations exhibit similar patterns of growth and development during childhood and adolescence. Healthcare providers can use these charts to better understand normal growth patterns and identify potential growth issues in both urban and rural populations.

The study's findings have significant implications for healthcare professionals, researchers, and policymakers seeking to promote healthy aging. The results suggest that targeting interventions at older age groups, males, urban residents, and married individuals may be effective in improving physical health outcomes. Furthermore, the study's findings highlight the importance of considering individual differences in body composition when evaluating health and disease. One potential limitation of the study is the relatively small sample size, which may limit the generalizability of the findings. Future research should aim to recruit larger sample sizes to increase the representativeness of the findings. Additionally, the study did not control for other factors that may influence PI, such as lifestyle habits and socioeconomic status. Future research should aim to control for these factors to better understand the underlying mechanisms driving the differences in PI.

The study's findings provide valuable insights into the distribution of PI among different age groups, genders, residential areas, and marital status. The results highlight the importance of considering individual differences in body composition when evaluating health and disease and suggest that targeting interventions at older age groups, males, urban residents, and married individuals may be effective in improving physical health outcomes.

Conclusion

The current study aimed to provide a detailed growth chart of the PI for Pakistani adults, utilizing a large sample of data from Pakistan. The investigation began by highlighting the significance of human growth and development in medicine, particularly in the context of pediatric medicine. The PI is a widely used indicator of growth and development, calculated by dividing the weight of an individual in kilograms by the cube of their height in meters. The PI has been demonstrated to be a reliable indicator of overall health and nutritional status, used to assess growth and development in children and adults. The study then discussed the limitations of BMI, which is often used to assess growth and development. BMI has been criticized for its sensitivity to errors in measurement and its inability to account for changes in body composition over time. In contrast, the PI is a more accurate measure of body composition, as it takes into account both height and weight.

The methodology employed in the study involved a cross-sectional design, with a sample size of 9906 participants aged 2-60 years old from Pakistan. Data collection was conducted using a two-part self-administered questionnaire. The results of the study showed that the PI values increased with age, with a plateau at around 15 years old. Additionally, significant differences in PI values were found between males and females, with males exhibiting higher PI values than females. The implications of the findings highlighted the importance of using Gaussian percentiles for PI in assessing growth and development patterns in children and adults. The study also emphasized the need for further research on the use of Gaussian percentiles for PI in Pakistani populations.

This study provides a comprehensive analysis of the PI in Pakistani children and adults, emphasizing the significance of utilizing Gaussian percentiles for PI in assessing growth and development patterns. The investigation contributes to our understanding of human growth and development in Pakistani populations, with implications for the development of targeted interventions to improve nutritional status and reduce the prevalence of malnutrition and stunting.

Disclosure Statement

Acknowledgments: The authors would like to thank respondents for their assistance in collection of data for this study.

Author’s Contribution: Waqas Ghulam Hussain Atif Akbar & Farrukh Shehzad provide substantial contributions to conception and design, or acquisition of data, or analysis and interpretation of data;

  1. Waqas Ghulam Hussain make drafting of the article and revising it critically for
    important intellectual content; and
  2. Farrukh Shehzad & Atif give final approval of the version to be published.

Agreement to be accountable for all aspects of the work in ensuring that questions related to the accuracy or integrity of any part of the work are appropriately investigated and resolved.

Ethical approval: This study was approved by Department of Statistics, The Islamia University of Bahawalpur, Bahawalpur, Pakistan

Grant support & financial disclosures: None

Financial support: This study was not financially supported by any organization.

Conflict of interest: The authors have no conflict of interest.

Authorship: All the authors are contributed significantly to the design, data collection, analysis, and interpretation of the results. All authors have read and approved the final manuscript.

References

  1. Rodd C, Sharma AK. Recent trends in the prevalence of overweight and obesity among Canadian children. 2016;188(13):313–320.
  2. Flegal KM. Use and misuse of BMI categories. AMA Journal of Ethics.2023;25(7):550–558.
  3. Mohajan D, Mohajan HK. Body mass index (BMI) is a popular anthropometric tool to measure obesity among adults. Journal of Innovations In Medical Research. 2023;2(4):25–33.
  4. Zaniqueli D, Oliosa PR, Neves FS, et al. Ponderal index classifies obesity in children and adolescents more accurately than body mass index z-scores. Pediatric Research. 2019;86(1):128–133.
  5. Cossio-Bolaños M, Vidal-Espinoza R, Albornoz CU, et al. Relationship between the body mass index and the ponderal index with physical fitness in adolescent students. BMC Pediatrics. 2022;22(1):1–9.
  6. Murphy-Alford AJ, Johnson W, Nyati LH, et al. Body composition reference charts for infants from birth to 24 months: multicenter infant body composition reference study. Multicenter Study. 2023;117(6):1262–1269.
  7. Purohit N, Kaur N, Zaidi SR, et al. Assessing the WHO-UNICEF primary health-care measurement framework; Bangladesh, India, Nepal, Pakistan and Sri Lanka. Bulletin of the World Health Organization. 2024;102(7):476–485.
  8. Katoch OR. Determinants of malnutrition among children: a systematic review. 2022;96:111565.
  9. Naeem N, Naeem B. Challenges and opportunities of integration of community-based Nutrition services in Punjab, Pakistan.
  10. Hussain WG, Shehzad F, Ahmad R, et al. Establishing growth charts for proposed body shape and size index of the Pakistani population, using quantile regression approach. SAGE Open Medicine. 2021;9:20503121211036135.
  11. Obilor EI. Convenience and purposive sampling techniques: are they the same. International Journal of Innovative Social & Science Education Research. 2023;11(1):1–7.
  12. Lupu N, Michelitch K. Advances in survey methods for the developing world. Annual Review of Political Science. 2018;21:195–214.
  13. Smith DD, Pippen JL, Adesomo AA, et al. Exclusion of pregnant women from clinical trials during the coronavirus disease 2019 pandemic: a review of international registries. American Journal of Perinatology. 2020;37(8):792–799.
  14. Chen X, Gong X, Li D, et al. Can information and communication technology reduce CO 2 emission? A quantile regression analysis. Environmental Science and Pollution Research. 2019;26(32):32977–32992.
  15. Renjith V, Yesodharan R, Noronha J, et al. Qualitative methods in health care research. International journal of preventive medicine. 2021;12(1):20.
  16. Amirrudin M, Nasution K, Supahar S. Effect of variability on cronbach alpha reliability in research practice. Jurnal Matematika, Statistika dan Komputasi. 2021;17(2):223–230.
  17. Li Y, Vasconcelos N. Repair: Removing representation bias by dataset resampling. Conference on computer vision and pattern recognition. 2019;
  18. Kharuddin F, Azid N, Mustafa Z, et al. Determination of sample size in early childcare centre (TASKA) service project in Malaysia: classification and analytical approach. Albukhary Social Business Journal. 2020;1(2):104–112.
  19. Mohammadi MR, Mostafavi SA, Hooshyari Z, et al. National growth charts for BMI among Iranian children and adolescents in comparison with the WHO and CDC curves. Childhood Obesity. 2020;16(1):34–43.
  20. Wang YN, Zeng Q, Xiong F, et al. Male external genitalia growth curves and charts for children and adolescents aged 0 to 17 years in Chongqing, China. Asian Journal of Andrology. 2018;20(6):567–571.
  21. Wei R, Ogden CL, Parsons VL, et al. A method for calculating BMI z-scores and percentiles above the 95th percentile of the CDC growth charts. Annals of Human Biology. 2020;47(6):514–521.
  22. Llorca-Colomer F, Murillo-Llorente MT, Legidos-Garcia ME, et al. Differences in classification standards for the prevalence of overweight and obesity in children. A systematic review and meta-analysis. Clinical Epidemiology. 2022;14:1031–1052.
  23. Ogata H, Isoyama Y, Nose-Ogura S, et al. Allometric multi-scaling of weight-for-height relation in children and adolescents: revisiting the theoretical basis of body mass index of thinness and obesity assessment. PLoS One. 2024;19(7):0307238.
  24. Lobstein T, Jewell J. What is a “high” prevalence of obesity? Two rapid reviews and a proposed set of thresholds for classifying prevalence levels. Obesity Reviews. 2022;23(2):13363.
  25. Gillani S, Shafiq MN, Bhatti MA, et al. Impact of economic growth on child malnutrition in Pakistan: a time series analysis. iRASD Journal of Economics. 2022;4(1):149–163.
  26. Khaliq A, Wraith D, Nambiar S, et al. A review of the prevalence, trends, and determinants of coexisting forms of malnutrition in neonates, infants, and children. BMC Public Health. 2022;22(1):879.
  27. Flynn AC, Suleiman F, Windsor‐Aubrey H, et al. Preventing and treating childhood overweight and obesity in children up to 5 years old: A systematic review by intervention setting. Maternal Child Nutrition. 2022;18(3):13354.
  28. Wang X, Huang Y, Chen Y, et al. The relationship between body mass index and stroke: a systemic review and meta-analysis. Journal of Neurology. 2022;269(12):6279–6289.
  29. Leonard SA, Hutcheon JA, Bodnar LM, et al. Gestational weight gain‐for‐gestational age z‐score charts applied across US populations. Paediatric and Perinatal Epidemiology. 2018; 32(2):161–171.
  30. Khanna D, Peltzer C, Kahar P, et al. Body mass index (BMI): a screening tool analysis. 2022;14(2):22119.
  31. Mouchaers I, Verbeek H, Kempen GI, et al. The concept of disability and its causal mechanisms in older people over time from a theoretical perspective: a literature review. European Journal of Ageing. 2022;19(3):397–411.
  32. Refalo MC, Nuckols G, Galpin A, et al. Biological sex differences in absolute and relative changes in muscle size following resistance training in healthy adults. A systematic review with meta-analysis.
  33. Zhang F, Jiang J, Yang M, et al. Catastrophic health expenditure, incidence, trend and socioeconomic risk factors in China: a systematic review and meta-analysis. Front public health. 2023;10:997694.
  34. Amirkhan JH, Vandenbelt AB. Marriage and health: exploring the role of stress overload. Anxiety Stress Coping. 2023;36(3):398–413.
  35. Föhr T, Törmäkangas T, Lankila H, et al. The association between epigenetic clocks and physical functioning in older women: a 3-year follow-up. The Journals of Gerontology: Series A. 2022;77(8):1569–1576.
Creative Commons Attribution License

©2024 Hussain, et al. This is an open access article distributed under the terms of the, which permits unrestricted use, distribution, and build upon your work non-commercially.